Waktu Solat Dan Berbuka 05 Sep 2017 14 Waktu Solat Malaysia Facebook
21 Ramadhan 1441h 14 Mei 2020 Ahli Parlimen Port Dickson Yb Anwar Ibrahim Facebook
23 Ramadhan 1441h 16 Mei 2020 Ahli Parlimen Port Dickson Yb Anwar Ibrahim Facebook
Masuk Waktu Solat Port Dickson
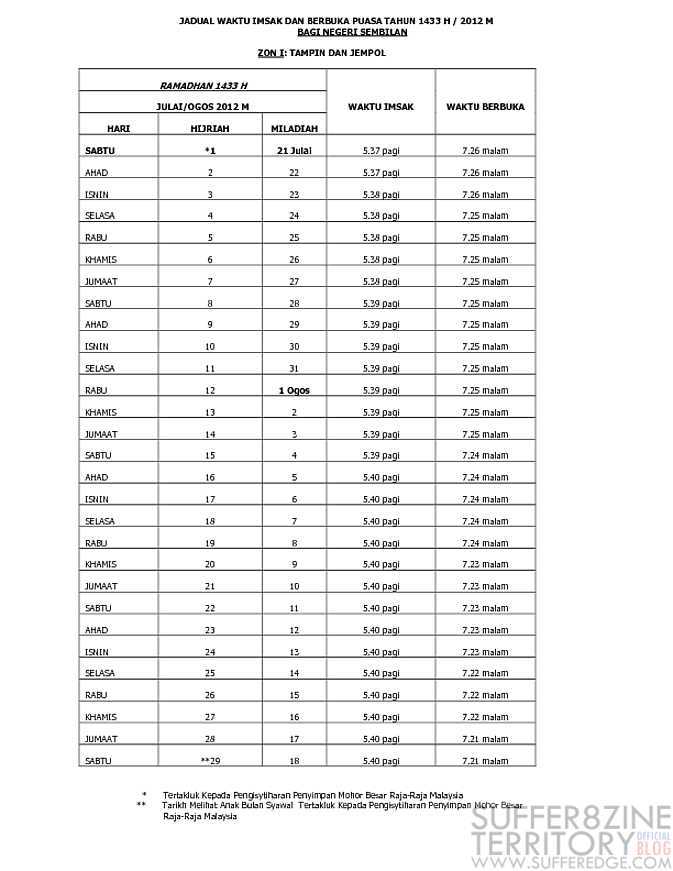
Waktu Solat Seremban Port Dickson Kuala Pilah Jelebu Rembau
Waktu Solat Bagi Kawasan Seremban Port Dickson Jelebu Kuala Pilah Rembau Waktu Solat Dot Net
Waktu Berbuka Puasa Sepang Selangor 2018 Seremban I
Waktu Berbuka Kuala Selangor Seremban I
Waktu Solat Negeri Terengganu
Portal E Solat
Wan S Apartment Bayu Beach Resort Port Dickson Home Facebook
Klana Beach Resort Port Dickson In Malaysia Room Deals Photos Reviews
Berkenaan Waktu Solat Subuh Di Negeri Klana Beach Resort Port Dickson Facebook
Home
Waktu Solat Port Dickson Ogos 2020
Satay Along Tampin Posts Facebook
Portal Rasmi Majlis Perbandaran Port Dickson Mppd